Model Card for phytoViT_558k_Aug2025
Model Details
Model Description
UCSCPhytoViT83 is a Vision Transformer (ViT) model fine-tuned for image classification of phytoplankton species using labeled images collected from the Imaging FlowCytobot (IFCB) at UCSC. The model is fine-tuned from the pre-trained google/vit-base-patch16-224-in21k base model. The model was trained on images that are aggregated from IFCB104, IFCB161, and IFCB116
- Developed by: Patrick Daniel
- Model type: Vision Transformer for image classification
- License: Apache 2.0
- Finetuned from model: google/vit-base-patch16-224-in21k
Model Sources
- Repository: [More Information Needed]
Uses
Direct Use
This model can be used directly for classifying phytoplankton images captured by Imaging FlowCytobots instruments. Focus has been on capturing the variability of the phytoplankton community in Monterey Bay, CA, USA. It is intended for researchers.
Images should be transformed before inference:
transforms.Compose([
transforms.Resize((224, 224)), # match ViT input size
transforms.Normalize(mean=(0.485, 0.456, 0.406),
std=(0.229, 0.224, 0.225))
])
Out-of-Scope Use
This model is not intended for classifying non-phytoplankton images or images from different microscopy systems without proper retraining or adaptation. For the IFCB, the model was trained for instruments that are triggering on PMT-B, so particles and cells with no or limited chlorophyll may not be well represented here.
Bias, Risks, and Limitations
The model was trained on IFCB images collected at UCSC/MBARI and mostly in Monterey Bay, CA, USA or San Francisco Bay, CA, USA and may not generalize well to images from other instruments or regions. Users should validate model predictions with domain experts when possible.
How to Get Started with the Model
Install the transformers library and load the model as shown in the example above. For best results, use images preprocessed similarly to the IFCB dataset (see above).
Training Details
Training Data
The model was trained on approximately 558,000 labeled IFCB images representing 83 classes.
Training Procedure
- Preprocessing: Images were resized and normalized consistent with ViT base requirements.
Evaluation
Testing Data, Factors & Metrics
- The model was evaluated on a held-out test set of IFCB images.
- Metrics include accuracy, precision, recall, and F1-score across phytoplankton classes.
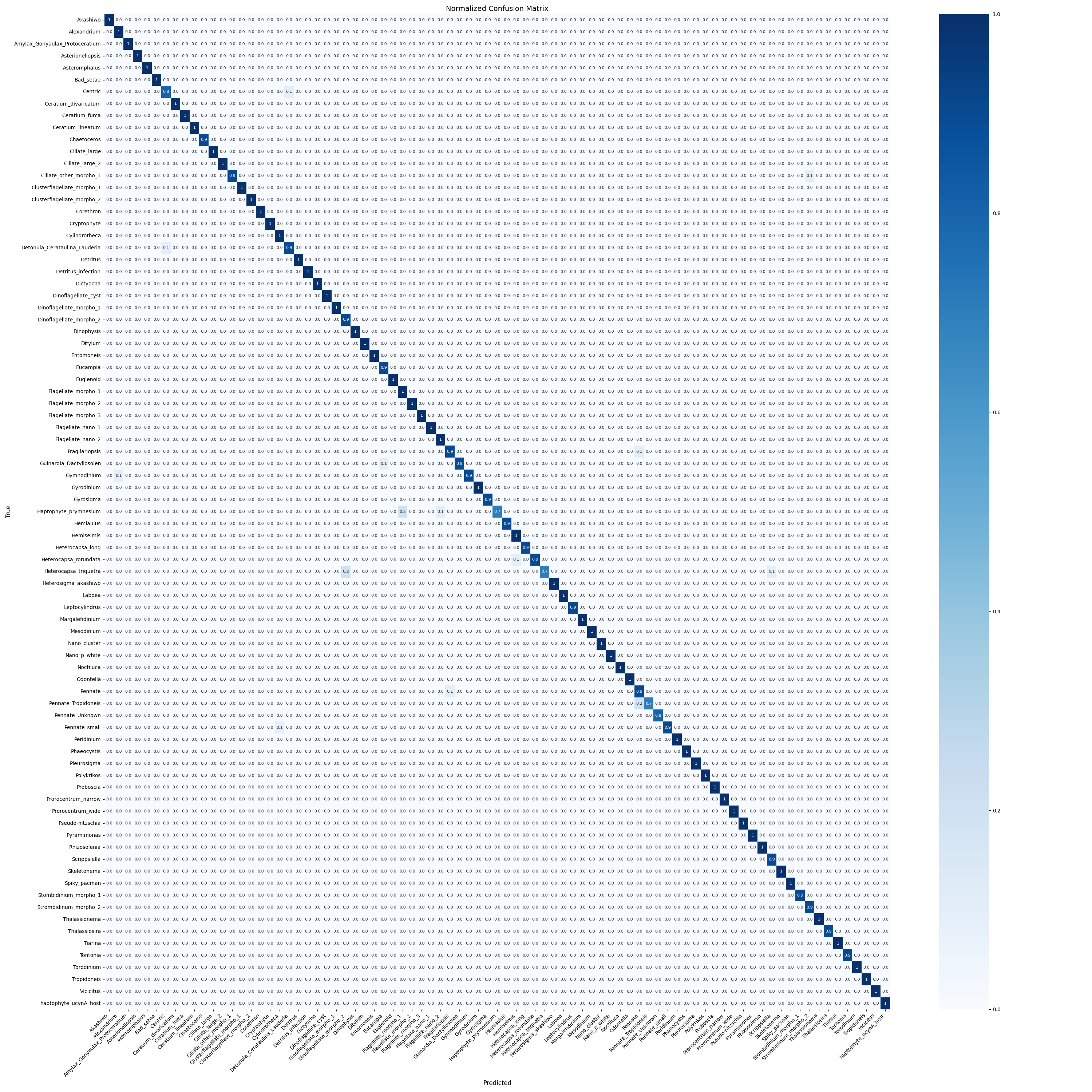
Results
| Label Name | precision | recall | f1-score | Eval # |
|---|---|---|---|---|
| Akashiwo | 0.980405 | 0.984656 | 0.982526 | 2998 |
| Alexandrium | 0.972328 | 0.968642 | 0.970482 | 2902 |
| Amylax_Gonyaulax_Protoceratium | 0.987234 | 0.983051 | 0.985138 | 236 |
| Asterionellopsis | 0.982877 | 0.979522 | 0.981197 | 586 |
| Asteromphalus | 0.990488 | 0.988138 | 0.989311 | 843 |
| Bad_setae | 0.981581 | 0.969674 | 0.975591 | 1319 |
| Centric | 0.886133 | 0.848779 | 0.867054 | 2989 |
| Ceratium_divaricatum | 0.994825 | 0.97096 | 0.982748 | 792 |
| Ceratium_furca | 0.962202 | 0.966172 | 0.964183 | 1212 |
| Ceratium_lineatum | 0.975992 | 0.986287 | 0.981112 | 1896 |
| Chaetoceros | 0.944537 | 0.948 | 0.946265 | 3000 |
| Ciliate_large | 0.958333 | 0.974576 | 0.966387 | 118 |
| Ciliate_large_2 | 0.959091 | 0.96789 | 0.96347 | 218 |
| Ciliate_other_morpho_1 | 0.915578 | 0.918347 | 0.91696 | 992 |
| Clusterflagellate_morpho_1 | 0.994539 | 0.982468 | 0.988467 | 1483 |
| Clusterflagellate_morpho_2 | 0.992734 | 0.996354 | 0.99454 | 1097 |
| Corethron | 0.998889 | 0.99778 | 0.998334 | 901 |
| Cryptophyte | 0.951977 | 0.968391 | 0.960114 | 1740 |
| Cylindrotheca | 0.925259 | 0.969143 | 0.946693 | 1750 |
| Detonula_Cerataulina_Lauderia | 0.840866 | 0.880667 | 0.860306 | 3000 |
| Detritus | 0.971975 | 0.987915 | 0.97988 | 2317 |
| Detritus_infection | 0.996717 | 0.996308 | 0.996513 | 2438 |
| Dictyocha | 0.997705 | 0.995421 | 0.996562 | 2184 |
| Dinoflagellate_cyst | 1 | 1 | 1 | 17 |
| Dinoflagellate_morpho_1 | 0.95098 | 0.984772 | 0.967581 | 394 |
| Dinoflagellate_morpho_2 | 0.93253 | 0.940081 | 0.93629 | 2470 |
| Dinophysis | 0.986971 | 0.988581 | 0.987775 | 1226 |
| Ditylum | 0.994619 | 0.996406 | 0.995512 | 1113 |
| Entomoneis | 0.972626 | 0.978485 | 0.975547 | 1162 |
| Eucampia | 0.977153 | 0.926667 | 0.95124 | 3000 |
| Euglenoid | 0.972408 | 0.965145 | 0.968763 | 2410 |
| Flagellate_morpho_1 | 0.966153 | 0.96132 | 0.963731 | 2999 |
| Flagellate_morpho_2 | 0.942211 | 0.974026 | 0.957854 | 385 |
| Flagellate_morpho_3 | 0.951259 | 0.969333 | 0.960211 | 3000 |
| Flagellate_nano_1 | 0.956818 | 0.981352 | 0.96893 | 429 |
| Flagellate_nano_2 | 0.988124 | 0.978824 | 0.983452 | 425 |
| Fragilariopsis | 0.900064 | 0.939667 | 0.919439 | 3000 |
| Guinardia_Dactyliosolen | 0.806818 | 0.913603 | 0.856897 | 544 |
| Gymnodinium | 0.830748 | 0.867452 | 0.848703 | 679 |
| Gyrodinium | 0.988604 | 0.991429 | 0.990014 | 1050 |
| Gyrosigma | 0.946237 | 0.946237 | 0.946237 | 93 |
| Haptophyte_prymnesium | 0.622642 | 0.673469 | 0.647059 | 49 |
| Hemiaulus | 0.903226 | 0.903226 | 0.903226 | 155 |
| Hemiselmis | 0.950862 | 0.974 | 0.962292 | 3000 |
| Heterocapsa_long | 0.958763 | 0.894231 | 0.925373 | 104 |
| Heterocapsa_rotundata | 0.964509 | 0.884211 | 0.922616 | 1045 |
| Heterocapsa_triquetra | 0.803571 | 0.656934 | 0.722892 | 137 |
| Heterosigma_akashiwo | 1 | 0.998477 | 0.999238 | 1313 |
| Laboea | 0.990521 | 0.987402 | 0.988959 | 635 |
| Leptocylindrus | 0.965558 | 0.949766 | 0.957597 | 856 |
| Margalefidinium | 0.973141 | 0.975378 | 0.974258 | 3046 |
| Mesodinium | 0.9583 | 0.962933 | 0.960611 | 2482 |
| Nano_cluster | 0.982955 | 0.997118 | 0.989986 | 347 |
| Nano_p_white | 0.982298 | 0.975951 | 0.979114 | 2786 |
| Noctiluca | 1 | 0.965517 | 0.982456 | 29 |
| Odontella | 1 | 1 | 1 | 30 |
| Pennate | 0.909332 | 0.864695 | 0.886452 | 3178 |
| Pennate_Tropidoneis | 0.837209 | 0.742268 | 0.786885 | 97 |
| Pennate_Unknown | 0.84127 | 0.828125 | 0.834646 | 64 |
| Pennate_small | 0.843373 | 0.864198 | 0.853659 | 405 |
| Peridinium | 0.968435 | 0.969086 | 0.96876 | 1488 |
| Phaeocystis | 0.994502 | 0.997931 | 0.996213 | 1450 |
| Pleurosigma | 0.991379 | 0.963149 | 0.97706 | 597 |
| Polykrikos | 0.997099 | 0.995174 | 0.996135 | 1036 |
| Proboscia | 0.992593 | 0.985294 | 0.98893 | 136 |
| Prorocentrum_narrow | 0.981952 | 0.981952 | 0.981952 | 2992 |
| Prorocentrum_wide | 0.988893 | 0.991463 | 0.990176 | 2694 |
| Pseudo-nitzschia | 0.956324 | 0.977674 | 0.966881 | 1075 |
| Pyramimonas | 1 | 0.982379 | 0.991111 | 227 |
| Rhizosolenia | 0.996008 | 0.984221 | 0.990079 | 507 |
| Scrippsiella | 0.960588 | 0.931015 | 0.94557 | 1754 |
| Skeletonema | 0.98632 | 0.993113 | 0.989705 | 1452 |
| Spiky_pacman | 0.961072 | 0.958908 | 0.959989 | 3553 |
| Stombidinium_morpho_1 | 0.919847 | 0.909434 | 0.914611 | 265 |
| Strombidinum_morpho_2 | 0.966399 | 0.940633 | 0.953342 | 2813 |
| Thalassionema | 0.989882 | 0.991554 | 0.990717 | 592 |
| Thalassiosira | 0.924272 | 0.931667 | 0.927955 | 3000 |
| Tiarina | 0.997843 | 0.996767 | 0.997305 | 928 |
| Tontonia | 0.954167 | 0.938525 | 0.946281 | 244 |
| Torodinium | 0.994792 | 0.990493 | 0.992638 | 1157 |
| Tropidoneis | 1 | 0.993569 | 0.996774 | 311 |
| Vicicitus | 0.943284 | 0.954683 | 0.948949 | 331 |
| haptophyte_ucynA_host | 1 | 0.998532 | 0.999265 | 2043 |
| accuracy | 0.958662 | 0.958662 | 0.958662 | 0.958662 |
| macro avg | 0.953973 | 0.951658 | 0.952527 | 111810 |
| weighted avg | 0.958948 | 0.958662 | 0.958652 | 111810 |
Technical Specifications
Model Architecture and Objective
Citation
If you use this model in your research, please cite:
APA:
Daniel, P. (2025). phytoViT_558k_Aug2025: Vision Transformer model for phytoplankton image classification. Retrieved from https://huggingface.co/phytoViT_558k_Aug2025
BibTeX:
@misc{daniel2025phytoViT,
author = {Patrick Daniel},
title = {phytoViT_558k_Aug2025: Vision Transformer model for phytoplankton image classification},
year = {2025},
howpublished = {\url{https://huggingface.co/phytoViT_558k_Aug2025}},
}
Model Card Authors
Patrick Daniel
Model Card Contact
- Downloads last month
- 5
Model tree for patcdaniel/UCSCPhytoViT83
Base model
google/vit-base-patch16-224